河北高考改革方案(河北高考改革方案今正式颁布)
4月23日,省政府新闻办举行新闻发布会,公布高考改革实施方案。从2021年开始,河北高考实行“3+1+2”模式:
“3”是语文、数学、外语,由全国统考;“1+2”为学业水平选择性考试,其中“1”为物理、历史科目2选1,“2”是在思想政治、地理、化学、生物学4门科目中选择2科。为增加考生和院校双向选择机会,考生志愿将采取“专业(类)+学校”的组合方式。
12种组合供学生选择
招生录取:统考+选考+参考综合素质评价
从2021年起,我省高考按改革实施方案考试和录取,普通高校实行“两依据、一参考”的招生录取模式,依据统一高考(以下简称统考)和高中学业水平选考(以下简称选考)科目成绩、参考综合素质评价进行招生录取。
高考成绩满分750分
根据新高考方案,考生高考成绩由统考科目和选考科目构成,满分750分。
统考科目
语文、数学、外语为统考科目,使用全国统一试卷,各科满分150分,均以原始成绩计入总分,其中,外语科目考试由听力和笔试两部分组成,待条件成熟后提供两次考试机会。
选考科目
选考科目包括物理、历史、思想政治、地理、化学、生物学等,满分均为100分,考生须在物理和历史两个科目中,选考1科,以原始成绩计入总分,在其他4个科目中,选考2科,以转换成绩计入总分。
选考12种组合
高考选择考科目理论上有12种组合,分别为:物理+化学+生物学、物理+化学+思想政治、物理+化学+地理、物理+生物学+思想政治、物理+生物学+地理、物理+思想政治+地理、历史+思想政治+地理、历史+思想政治+化学、历史+生物学+思想政治、历史+地理+化学、历史+地理+生物学 、历史+化学+生物学。
“告别”文科生、理科生
“学生将不再简单被划分为文科生、理科生,而是更加多元,可以在12个组合中选择其一。”省教育厅厅长杨勇表示,新高考方案,将让学生拥有更多选择权。
选择考由我省统一命题、考试
选择考在每年6月份统一高考后同期进行
选择考从2021年开始实施,每年组织1次,我省统一命题、考试、组织阅卷、公布成绩。考试时间安排在每年6月份统一高考后同期进行。
高三年级参加选择考
普通高中在校生只能在高三年级参加选择考,每科考试时长均为90分钟,考试成绩当年有效。选择考科目在高考报名时最终确定,考生在报名前可以更换,报名结束后不可更改。
符合高校相应要求方可报考该专业(类)
为方便考生选择考试科目,我省规定,2021年在我省招生的普通高等学校要提前根据专业人才培养对学生学科专业基础的需要,科学合理设置选考科目要求。考生选考科目符合高校相应招生专业(类)选考科目要求的,方可报考该专业(类);没有确定选考科目要求的招生专业(类),考生在报考时无选考科目限制。高等学校招生专业(类)的选考科目要求提前向社会公布。
合并批次,专业优先,增加考生选择机会
我省高考改革在录取批次和录取办法方面也有显著变化。
逐步合并本科一批、本科二批录取批次,自2020年起,普通高等学校招生录取分为本科、高职(专科)两个批次。增加本科批次考生填报志愿数量和征集志愿次数,最大限度满足考生志愿填报的需求。
自2021年起,在普通高等学校招生录取中,按物理科目组合和历史科目组合分列招生计划、分别划定最低录取控制分数线。考生志愿由“专业(类)+院校”组成,一所院校一个招生专业(类)为一个志愿,实行平行志愿投档,增加高等学校和学生双向选择的机会。
此外,我省将推进高等职业教育分类考试招生改革。加快推进高等职业教育分类考试招生改革,突出职业教育人才培养规律,高职院校与普通高校考试招生相对分开,实行“文化素质+职业技能”的评价方式。
从6个关键问题读懂新高考
河北省普通高考综合改革政策解读
来了↓↓↓
4月23日,我省高考综合改革实施方案揭开面纱。自1977年恢复高考制度以来,高考命题、招生制度一直在不断调整、优化,这一次,全新的改革将带来哪些变化?如何实现在公平之路上科学选才?实施方案起草小组相关负责人进行了深入解读。
“3+1+2”凸显哪些优势?
实施方案中,最受关注的是“从2021年起,我省高考考生总成绩将由全国统一高考的语文、数学、外语3个科目成绩(满分均为150分)和考生选择的3科普通高中学业水平选择性考试科目成绩组成,满分为750分。”
在选择性考试中,考生在物理或历史中所选择的1门科目,满分为100分,以原始成绩计入考生总成绩;在思想政治、地理、化学、生物学4门科目中选择的2门科目,每科满分均为100分,以等级赋分成绩计入。
实施方案起草小组相关负责人介绍,“3+1+2”的模式和传统的文理分科有着本质上的区别。从目标导向看,这一模式既体现了物理、历史学科的基础性作用,突出了高校不同学科专业选才的要求,也更加注重学生的全面发展,提高学生的综合素质。从选择科目组合看,崭新的模式,提供了12种组合,增大了考生的选择面,在考试内容上,学生参加全国统一高考的语文、数学、外语3个科目考试时不分文理,所有考生的考试试卷完全一致,沿袭了多年的“数学文”“数学理”两年后将正式告别高考考场。
12种组合怎样选择?
如何高效、精准地选出最优组合?
省教育考试院相关负责人表示,这需要科学合理确定选考科目需要结合自身兴趣特长和优势和普通高中办学条件进行选择。
同时,也要密切注意目标大学的目标专业类对高中所选科目的具体要求。假设,A高校的甲专业要求考生必选“物理”,对其余科目不做要求,则表示考生3门选考科目中只要有物理就可报考甲专业。如果B高校的乙专业要求考生除了“物理”之外,还要选择“地理”,那么考生3门选考科目中就需要同时有“物理”和“地理”,才可以报考该专业。
我省将汇总各招生高校所提的选考科目要求后,及时提供考生参考。
物理、历史为啥脱颖而出?
“考生在确定普通高中学业水平选择性考试科目时,应在历史或物理中选择1门,在思想政治、地理、化学、生物学中选择2门。”看到高考新政,部分考生、家长感觉,“物理、历史似乎放在了更显著的位置。”
这样设置有何深意?
实施方案起草小组相关负责人表示,这一安排主要基于高校人才培养、我省普通高中教育教学实际以及学生多样化成长等因素的考虑。
物理和历史在自然科学类专业和人文社会科学类专业发挥着基础性作用,考生在这两个科目中选择1门,便于为进入大学开展专业学习奠定扎实基础,也有利于高校相关专业对学生的培养;我省各地高中办学条件存在一定差异,将物理或历史作为考生必选的科目之一,可以与现有师资、教室等条件有效衔接,引导学生合理选科。相比改革前文理分科的两种学科组合方式,这种设置不仅增加了学生的选择权,而且促进了文理交融,为学生成长成才提供更多机会。
此外,为了便于投档录取,高校在安排招生计划时,将分物理科目组合和历史科目组合两个类别分别编制;在录取时,也将按照选物理的考生和选历史的考生按两个序列分别排队录取。这就意味着,考生无法同时在物理科目组合和历史科目组合两个队列中排队录取,因此考生只能从物理或历史中选择1门参加选择性考试。
计算成绩为何采用“原始分+等级赋分”?
尽管均为高中学业水平选择性考试科目,物理和历史按原始成绩计入考生高考总成绩,而思想政治、地理、化学、生物学考试成绩则实行等级赋分。
对此,实施方案起草小组相关负责人介绍,我省2021年开始,在录取时选考物理的考生和选考历史的考生将分别排队录取。这就意味着,在高考中,物理和历史必须2选1,物理或历史试卷、考试群体相同,成绩具有可比性,可以使用原始分计入考生总成绩。
而思想政治、地理、化学、生物学4门学科试题难度差异和报考相应学科的考生群体不同,考生选考科目的原始分不具有可比性。比如,考生甲选考思想政治,考生乙选考化学,两人都考了80分,考生甲排在所有选考思想政治考生的第100位,考生乙排在所有选考化学考生的第1000位。如果简单将他们各科成绩相加计入考生总成绩并进行比较,既不科学也不公平。
因此,需要将不同科目的原始分按照一定规则通过转换得到等级分,以解决选考科目的原始分不具有可比性的问题。
影响等级赋分的因素有哪些?
“思想政治、地理、化学、生物学4门科目每科原始成绩为100分,转换后赋分成绩满分依然为100分,赋分起点为30分。”
省教育考试院相关负责人介绍,转换时将各科目考生原始成绩从高到低划分为A、B、C、D、E共5个等级,各等级人数所占比例分别约为15%、35%、35%、13%和2%。各科目成绩计入考生总成绩时,将A至E等级内的考生原始成绩,按照事先确定的比例,依照转换公式,分别转换到100~86、85~71、70~56、55~41、40~30五个分数区间,得到考生的赋分成绩。转换基数为实际参加该科目选择考的人数,不含缺考及因违纪作弊已被取消该科成绩的人数。
具体等级比例和赋分区间为:
等级
A
B
C
D
E
比例
约15%
约35%
约35%
约13%
约2%
赋分区间
100—86
85—71
70—56
55—41
40—30
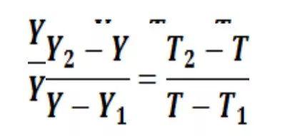
等级转换的具体公式:
其中:
Y1、Y2分别表示原始分区间的下限和上限;
T1、T2分别表示转换分区间的下限和上限;
Y表示原始分;
T表示转换分。
考虑到高考分数都以整数呈现,这一公式的计算结果需要进行“四舍五入”处理。
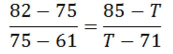
假设某同学思想政治学科原始分为75分,该学科B等级的原始分分布区间为82~61,则该同学思想政治学科的原始成绩属B等级。而B等级的转换分区间为85~71,那么该同学思想政治学科的转换分为:
解得, T≈80.33;
四舍五入后该同学思想政治学科赋分成绩为80
从中也可以看出,赋分的关键在于:“4选2”选考科目的分数在同一科目中的排名,根据这个排名区间确定所在的等级,然后根据等级,赋以对应的分数,计入高考成绩。
省教育厅相关负责人表示,此举旨在解决思想政治、地理、化学、生物学4门科目之间分数不等值、学生选考科目分数不能直接相加参加高校招生录取的问题。“等级区间比例依据我省往届考生的实际状况划定,比较符合实际情况,可以保持考生每门学科成绩排名顺序不变,确保成绩转换的公平公正。”
高职院校招生有哪些新变化?
为加快推进高等职业教育分类考试招生改革,突出职业教育人才培养规律,我省高职院校与普通高校考试招生相对分开,实行“文化素质+职业技能”的评价方式,统一安排在春季进行。
实施方案起草小组相关负责人表示,高等职业教育分类考试招生按不同考生类型划分为不同的考试内容。普通高中学生参加高等职业教育分类考试招生,文化素质成绩使用学业水平考试中的语文、数学科目成绩。职业技能部分由专业基础知识和职业适应性测试组成,其中专业基础知识由联合考试招生院校根据招生专业(类)需要,从普通高中学业水平考试中的“外语、思想政治、历史、地理、物理、化学、生物学”等科目中指定一门计入,职业适应性测试由联合考试招生院校统一组织。
中等职业学校的学生报考高职(专科)院校,文化素质考试科目为“语文、数学”,职业技能测试成绩使用对口升学专业考试成绩,没有对口升学专业考试成绩的,须参加招生院校联合组织的技能测试。
招生录取采取平行志愿投档方式,并且逐步探索实施一档多投,增加学校和考生双向选择的机会。
而未被高等职业教育分类考试招生录取的考生,可以继续参加普通高考,仍有机会被普通高校录取。
河北最美的赏花踏青地在哪里?答案即将揭晓!戳上图 ↑↑↑,来为家乡荣誉、为心目中的美景投出你支持的一票吧!
猜你爱看
河北4市最新查处多人!开除党籍、党内严重警告…
大专即可报名!铁路最新招聘上千人!千万别错过
来源|河北新闻网
记者|马利
编辑|李文慧
