提前批录取查询(提前批录取查询入口)
2021年本市中等职业学校提前批和随迁子女录取结果查询
最新消息
刚刚,市教育考试院开通中职校提前批和随迁子女录取结果查询通道。
相关考生可登录市教育考试院“上海招考热线”网站(www.shmeea.edu.cn),通过首页“录取查询”栏目进入查询页面,输入准考证上的考生报名号(12位数)和密码(考生本人报名时所填的考生证件号码最后不含字母的6位数字),查询录取结果。
中职校提前批
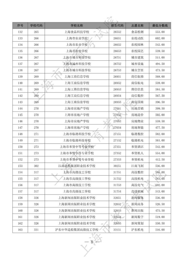
同时,市教育考试院也公布了2021年上海市中等职业学校提前批招生中本贯通、 “五年一贯制”和中高职贯通各专业录取最低分数线,一起来看——
随迁子女
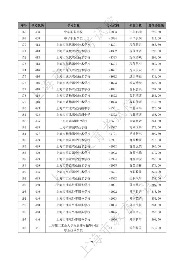
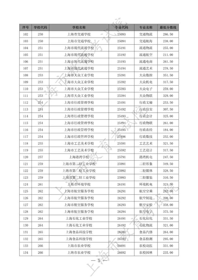
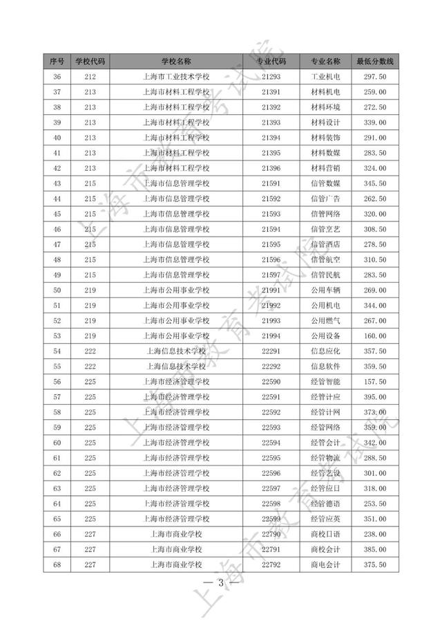
同时,市教育考试院也公布了2021 年上海市中等职业学校自主招收随迁子女 “五年一贯制”和中高职贯通各专业录取最低分数线,以及尚有缺额的学校名单及缺额计划数。一起来看——
