深圳大学考研专业课真题(工科考研211一般考多少分)

2022-03-30 20:50:24 来源:

(相关信息均来源官网公开数据)

(一切以学校官网为准)

(你们要多逛目标院校官网,基本上都会公布往年的一些考研信息)

22考研考试科目


就业情况

本硕士点就业率100%。有代表性的学生就业单位有北京大学东莞光电研究院,华为技术有限公司,深圳市大族激光科技股份有限公司,迈瑞医疗器械有限公司,西门子(深圳)磁共振有限公司。

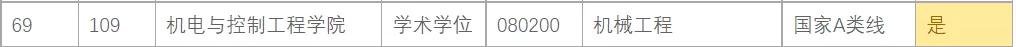
往年复试线