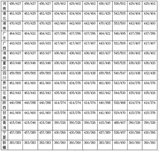
中央戏剧学院2019年各省录取分数线(文科/理科)
附2020年报考指导
一.中戏录取原则:
专业合格的考生,文化课成绩要达到中戏录取控制分数线(一般指考生所在省自主招生最低录取控制分数线),按专业考试排名择优录取。
具体专业录取原则(2019):
1.戏剧影视导演(戏剧导演方向,演出制作方向),戏剧影视文学(戏剧创作方向,电视剧创作方向),录取控制分数线按照生源所在省(自治区,直辖市)本科一批录取控制分数线的85%划定。
2.戏剧学(戏剧史论与批评方向,戏剧策划与应用方向),戏剧影视导演(戏剧教育方向,影视编导方向,影视制片方向)录取控制分数线按照生源所在省(自治区,直辖市)本科一批录取控制分数线的85%划定。
3.艺术管理专业(剧院管理)录取控制分数线按照生源所在省(自治区,直辖市)本科一批录取控制分数线划定。
二.复习指导
中戏编导各专业主要考察考生的文学素养和影视专业素养。
文学素养包括写作水平,文学常识,对我国古汉语掌握的程度,戏剧学专业初试就是文学常识,议论文写作,戏剧影视文学专业初试要考叙事散文写作,两者初试都要考古诗词,文言文赏析翻译,戏剧影视导演(戏剧导演)专业三试(面试),影视编导专业的复试(笔试),还要考编故事。
古文必读书目有《诗经》、《楚辞》、《古文观止》、《左传》、《论语》、《孟子》、《晏子春秋》、《史记》、《战国策》、“唐宋八大家”的作品等。
影视专业素养,包括对电影或者戏剧的评析,比如戏剧影视导演(戏剧导演)专业的复试环节,会考到影视作品评论或戏剧作品评论,如2017考到的是电影《一天》的评论,影视编导专业初试(面试)会考到很多电影的细节,如2018年的部分提问:
1.《三峡好人》中,韩三明在工地寻找小马哥,发现他已经死时,响起什么音乐?具体是在什么时候响的?
2.《阳光灿烂的日子》里,冯小刚饰演的老师大喊“焦师傅”的心理是什么?电影靠后段时,马小军为什么会说自己讲述的都是假的?
3.《甜蜜蜜》里,李翘本来是要跟豹哥告别的,为什么却跟豹哥走了?
大量阅片,还要认真看关键情节。 建议学编导专业的考生一定要把目标定位成名校,既然编导文化课成绩要求越来越高,报考各大学的起点又一样,区别就在于你选择什么样的培训机构。北京影向编导艺考教育专注编导名校,统考不过全额退费,校考不过全额退费,把考生的培训风险降到最低。
